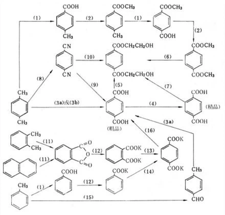
Terephthalsäure (PTA)wurde im 19. Jahrhundert entdeckt. Erst als das britische Chemieunternehmen Benenen 1949 feststellte, dass PTA (oder sein Derivat Dimethylterephthalat) der Hauptrohstoff für die Polyesterproduktion war, begann es, in großem Umfang hergestellt zu werden. 1981 erreichte die weltweite PTA-Produktion 3.485 Tonnen. Die erste industrialisierte Produktionsmethode war die Salpetersäureoxidation. Mit der Entwicklung der Polyesterindustrie wurde ein Verfahren zur Herstellung von PTA aus einer Vielzahl von Rohmaterialien und auf unterschiedliche Weise entwickelt (Abb. 1). Das wirtschaftlichste und am weitesten verbreitete Verfahren ist das Hochtemperatur-Flüssigphasenoxidationsverfahren unter Verwendung von p-Xylol als Rohmaterial (siehe Farbkarte), das eine hohe Ausbeute und einen kurzen Prozess aufweist. Die Niedertemperaturoxidation von p-Xylol hat milde Reaktionsbedingungen und wenig Korrosion, aber das Verfahren ist langwierig und wird nur in wenigen Fabriken angewendet. Es wurde auch vorgeschlagen, dass p-Xylol zuerst ammonisiert und oxidiert wird, um p-Phenylennitril herzustellen, und dann hydrolysiert wird, um PTA herzustellen. Dieses Verfahren wurde jedoch nicht in großem Umfang hergestellt. Aufgrund der hohen Kosten für die Abtrennung von p-Xylol aus gemischtem Xylol wurden auch einige Verfahren entwickelt, die von anderen Rohmaterialien ausgehen. Einige dieser Methoden sind zwar schon lange industrialisiert, aber noch nicht entwickelt, andere befinden sich erst im experimentellen Zwischenstadium.
Hochtemperatur-Flüssigphasenoxidation von p-Xylol:
Dieses Gesetz wurde erstmals 1955 von der American Medieval Company und der British Bnemen Chemical Industry Company vorgeschlagen und 1958 von der American Amoco Chemical Company industrialisiert. Die Gesamtreaktionsformel lautet (Abb. 1):
![]()
Der eigentliche Prozess ist jedoch viel komplizierter. Einige Leute denken, dass es durch die folgenden Schritte geht (Abb. 2):

Da die zweite Methylgruppe nicht leicht oxidiert wird, kann der Reaktionsprozess leicht auf der Stufe von p-Methylbenzoesäure oder p-Carboxybenzaldehyd gestoppt werden. Um die Oxidationsreaktion fortzusetzen, wendet das Chemieunternehmen Amoco den Prozess der Hochtemperatur und der Zugabe von Cokatalysatorbromid (üblicherweise Tetrabromethan) zum Kobaltacetat-Manganacetat-Katalysator an.
Von Bromid produziertes Brom kann die Kettenoxidationsreaktion auslösen, die freie Radikale erzeugt. Die Oxidationsreaktion wird im Allgemeinen in einem Turmreaktor durchgeführt. Die Reaktionstemperatur beträgt {{0}} Grad, aber die meisten von ihnen sind höher als 200 Grad. Höhere Temperaturen können die Reaktion beschleunigen und die Zwischenprodukte reduzieren, aber auch die Nebenprodukte der Zersetzung nehmen zu. Da die Reaktionswärme durch das bei der Verdampfungsreaktion erzeugte Wasser und Lösungsmittel Essigsäure abgeführt wird, steht der Reaktionsdruck in Beziehung zur Verdampfungsmenge, im Allgemeinen 1,5-3,0 MPa. Die Verweilzeit beträgt 0,5 ~ 3 Stunden. Die Erhöhung der Konzentration von Cobaltacetat und Manganacetat kann die Verweilzeit verkürzen oder die Reaktionstemperatur senken. Die Ausbeute an p-Xylol im Hochtemperatur-Oxidationsprozess kann mehr als 90 Prozent erreichen. Aufgrund der hohen Reaktionstemperatur und des stark korrosiv wirkenden Broms benötigt der Reaktor Titan oder Titanauskleidungsmaterial.
PTA hat eine geringe Löslichkeit in Essigsäure und das Oxidationsprodukt liegt in Form einer Aufschlämmung vor. Nach Zentrifugation und Trocknung wird festes Roh-PTA erhalten. Die schädlichste Verunreinigung ist p-Carboxybenzaldehyd (Gehalt: 1000-5000ppm). Rohes PTA kann verwendet werden, um Polyester durch Dimethylterephthalat herzustellen, aber ein besseres Verfahren ist die Reinigung, wobei raffiniertes PTA direkt als Ausgangsmaterial für Polyester verwendet wird. Das üblicherweise verwendete Raffinationsverfahren ist das von Amoco angewandte Hydrierungsverfahren, d. h. das rohe PTA wird in Wasser unter hoher Temperatur und hohem Druck gelöst, dann werden die Verunreinigungen in Gegenwart eines Palladiumkatalysators hydriert und dann kristallisiert und filtriert, um Faserqualität zu erhalten (Reinheitsangabe zum Spinnen geeignet). Der Gehalt an p-Carboxybenzaldehyd im Produkt kann weniger als 25 ppm betragen. Die Ausbeute an Terephthalsäure im Raffinationsprozess liegt bei über 97 Prozent. Zu den Raffinationsverfahren gehört neben der Hydrierung auch die Sublimation.

Bei der Niedertemperaturoxidation von p-Xylol liegt die Reaktionstemperatur dieses Verfahrens im Allgemeinen unter 150 Grad. Obwohl auch Kobaltacetat als Katalysator verwendet wird, wird kein Bromid verwendet. Zu diesem Zeitpunkt ist es, um die zweite Methylgruppe in eine Carboxylgruppe umzuwandeln, im Allgemeinen notwendig, ein Co-Oxid zuzugeben, das dazu neigt, während der Oxidationsreaktion Peroxid zu erzeugen. Beispielsweise verwendet die amerikanische Mobil Chemical Company Methylethylketon, die amerikanische Eastman Kodak Company verwendet Acetaldehyd und die japanische Toray Company verwendet Trimethylacetaldehyd. Diese Substanzen erzeugen nach der Oxidation auch Essigsäure, und Essigsäure ist das Lösungsmittel, das für die Oxidation verwendet wird. Die Reaktionsbedingungen sind wie folgt: Die Temperatur beträgt 120 bis 150 Grad, der Druck 3 MPa und die Ausbeute 96 Prozent. Das Niedertemperatur-Oxidationsverfahren hat kein Bromid und eine niedrige Reaktionstemperatur, sodass der Reaktor kein Titanmaterial verwenden kann.
Phthalsäureanhydrid-Transpositionsverfahren:
Das Patent der Firma Henkel (Verfahren 11, 12, 13 und 16 in Fig. 4) wird auch als Henkel-I-Verfahren bezeichnet. Die Industrialisierung wurde von der japanischen Firma Teijin realisiert. Bei diesem Verfahren wird Phthalsäureanhydrid zuerst in Dikaliumphthalat umgewandelt, Dikaliumterephthalat kann durch Transpositionsreaktion erhalten werden, und dann kann PTA durch Ansäuern (oder Säurefällung) erhalten werden. Am schwierigsten bei diesen Schritten ist die Transpositionsreaktion. Bei dieser Reaktion wird Cadmium- oder Zinkkatalysator verwendet. Die Reaktionstemperatur liegt bei 350-450 Grad, der Druck bei 1-5 MPa und auch der Reaktoraufbau ist sehr komplex. Das nach dem Ansäuern mit Schwefelsäure anfallende Kaliumsulfat lässt sich nur sehr schwer in Kaliumhydroxid für das Recycling umwandeln, sodass es nur als Kaliumdünger verwendet werden kann. Das Henkel-I-Verfahren ist rohstoffintensiv und technisch kompliziert. Daher wurde es, obwohl es industrialisiert wurde, nicht populär gemacht.
Toluol-Oxidations-Disproportionierungsverfahren:
Auch als Henkel-II-Verfahren bekannt (dh 1-, 12-, 14- und 16-Verfahren in Abb. 4). Das heißt, Toluol wird als Rohmaterial verwendet, und Benzoesäure wird zuerst durch Oxidation hergestellt, und ihr Kaliumsalz wird disproportioniert, um Benzol und Dikaliumterephthalat herzustellen, das angesäuert wird, um PTA zu bilden. Die kritischste ist die Disproportionierungsreaktion, die bei 400 Grad, 2 MPa und der Anwesenheit von Kohlendioxid durchgeführt wird. Dieses Gesetz wurde 1963 in Japan von der Mitsubishi Chemical Industry Corporation industrialisiert. Es wurde 1975 aufgrund hoher Kosten eingestellt. Da der Rohstoff Toluol jedoch viel billiger ist als p-Xylol, untersuchen und verbessern einige Unternehmen in einigen Ländern dieses Verfahren noch.

